首页
政务公开
网上服务
网络问政
走进平阳
平阳县公共资源交易中心
您现在的位置:
首页
>>
交易信息
>>
建设工程
>>
审批信息
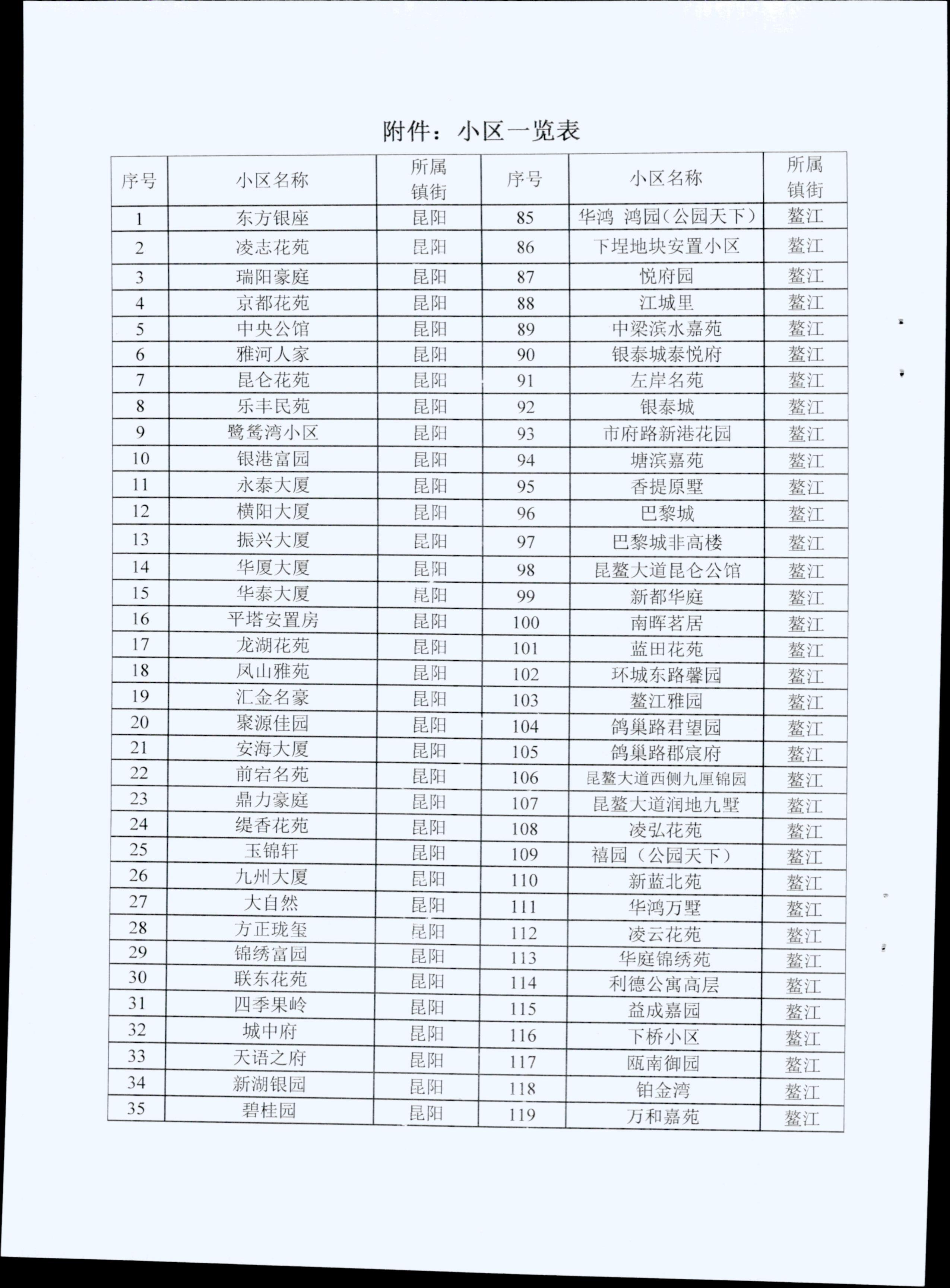
平阳县居民住宅二次供水设施改造工程(第二批)设计
发布时间: 2023/5/6 访问次数:
分享:
附件:
立项(6).jpg
立项(5).jpg
立项(4).jpg
立项(3).jpg
立项(2).jpg
立项(1).jpg
【打印】
【关闭】